My research focuses on studying neutron star mergers and the neutron-rich material that they eject. I develop pioneering radiative transfer simulations and machine learning emulators to study kilonovae, the radioactively-powered electromagnetic transients following neutron star mergers. I aim to help answer quests like "How are the heavy elements, like gold and platinum, made in our Universe?" and "How does matter behave at extreme densities and temperatures?". More generally, I am also interested in applying my skills and methodologies to the broader class of radiative transfer problems and leveraging my emulators for optimized simulation placement of computationally expensive models. Below are manuscripts to which I've contributed/authored in reverse chronological order.
On the NASA ADS, my work has been cited 423 times across 16 papers with an h-index of 9.
A comparison of three neodymium atomic data sets for kilonova modeling

Posted: April 2026 | Citations: 0
Christopher J. Fontes, Nicholas Vieira, Chris L. Fryer, Adithan Kathirgamaraju, Oleg Korobkin, Marko Ristić, Ryan T. Wollaeger
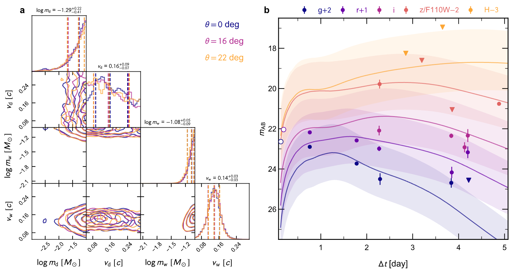
AT2025ulz and S250818k: Zooming in with the Hubble Space Telescope

Posted: January 2026 | Citations: 8
Yu-Han Yang, Eleonora Troja, Marko Ristić, Muskan Yadav, Massine El Kabir, Rubén Sánchez-Ramírez, Rosa L. Becerra, Chris L. Fryer, Brendan O'Connor, Simone Dichiara, Alberto J. Castro-Tirado, Camila Angulo-Valdez, Josefa Becerra González, José A. Font, Ori Fox, Lei Hu, Youdong Hu, William H. Lee, Margarita Pereyra, Alicia M. Sintes, Alan M. Watson, K. Océlotl C. López Mendoza
Kilonovae and Long-duration Gamma-ray Bursts

Posted: September 2025 | Citations: 5
Marko Ristić, Brandon L. Barker, Samuel Cupp, Axel Gross, Nicole Lloyd-Ronning, Oleg Korobkin, Jonah M. Miller, Matthew R. Mumpower
Joint Electromagnetic and Gravitational Wave Inference of Binary Neutron Star Merger GW170817 Using Forward-Modeling Ejecta Predictions

Posted: March 2025 | Citations: 5
Marko Ristić, Richard O'Shaughnessy, Kate Wagner, Christopher J. Fontes, Chris L. Fryer, Oleg Korobkin, Matthew R. Mumpower, Ryan T. Wollaeger
Kilonova light-curve interpolation with neural networks

Posted: July 2024 | Citations: 7
Yinglei Peng, Marko Ristić, Atul Kedia, Richard O'Shaughnessy, Christopher J. Fontes, Chris L. Fryer, Oleg Korobkin, Matthew R. Mumpower, V. Ashley Villar, Ryan T. Wollaeger
The Effect of the Velocity Distribution on Kilonova Emission

Posted: January 2024 | Citations: 25
Chris L. Fryer, Aimee L. Hungerford, Ryan T. Wollaeger, Jonah M. Miller, Soumi De, Christopher J. Fontes, Oleg Korobkin, Atul Kedia, Marko Ristic, Richard O'Shaughnessy
Interpolated kilonova spectra models: Examining the effects of a phenomenological, blue component in the fitting of AT2017gfo spectra

Posted: November 2023 | Citations: 7
Marko Ristić, Richard O'Shaughnessy, V. Ashley Villar, Ryan T. Wollaeger, Oleg Korobkin, Chris L. Fryer, Christopher J. Fontes, Atul Kedia
Constraining Inputs to Realistic Kilonova Simulations through Comparison to Observed r-process Abundances

Posted: October 2023 | Citations: 8
Marko Ristić, Erika M. Holmbeck, Ryan T. Wollaeger, Oleg Korobkin, Elizabeth Champion, Richard O'Shaughnessy, Chris L. Fryer, Christopher J. Fontes, Matthew R. Mumpower, Trevor M. Sprouse
Heavy element nucleosynthesis associated with a gamma-ray burst

Posted: August 2023 | Citations: 67
James H. Gillanders, Eleonora Troja, Chris L. Fryer, Marko Ristic, Brendan O'Connor, Christopher J. Fontes, Yu-Han Yang, Nanae Domoto, Salma Rahmouni, Masaomi Tanaka, Ori D. Fox, Simone Dichiara
Surrogate light curve models for kilonovae with comprehensive wind ejecta outflows and parameter estimation for AT2017gfo

Posted: March 2023 | Citations: 18
Atul Kedia, Marko Ristic, Richard O'Shaughnessy, Anjali B. Yelikar, Ryan T. Wollaeger, Oleg Korobkin, Eve A. Chase, Christopher L. Fryer, Christopher J. Fontes
Kilonova Detectability with Wide-field Instruments

Posted: March 2022 | Citations: 66
Eve A. Chase, Brendan O'Connor, Christopher L. Fryer, Eleonora Troja, Oleg Korobkin, Ryan T. Wollaeger, Marko Ristic, Christopher J. Fontes, Aimee L. Hungerford, Angela M. Herring
Interpolating detailed simulations of kilonovae: Adaptive learning and parameter inference applications

Posted: January 2022 | Citations: 22
M. Ristic, E. Champion, R. O'Shaughnessy, R. Wollaeger, O. Korobkin, E. A. Chase, C. L. Fryer, A. L. Hungerford, C. J. Fontes
A Broad Grid of 2D Kilonova Emission Models

Posted: September 2021 | Citations: 67
R. T. Wollaeger, C. L. Fryer, E. A. Chase, C. J. Fontes, M. Ristic, A. L. Hungerford, O. Korobkin, R. O'Shaughnessy, A. M. Herring
Minimum Orbital Period of Precataclysmic Variables

Posted: October 2018 | Citations: 20
L. Nelson, J. Schwab, M. Ristic, S. Rappaport
Likely transiting exocomets detected by Kepler

Posted: February 2018 | Citations: 87
S. Rappaport, A. Vanderburg, T. Jacobs, D. LaCourse, J. Jenkins, A. Kraus, A. Rizzuto, D. W. Latham, A. Bieryla, M. Lazarevic, A. Schmitt
Long-term, Multiwavelength Light Curves of Ultra-cool Dwarfs: I. An Interplay of Starspots & Clouds Likely Drive the Variability of the L3.5 dwarf 2MASS 0036+18

Posted: September 2016 | Citations: 11
Bryce Croll, Philip S. Muirhead, Eunkyu Han, Paul A. Dalba, Jacqueline Radigan, Caroline V. Morley, Marko Lazarevic, Brian Taylor
You can find my CV below (refresh the page if the pop-out button doesn't appear properly). As an APS Career Mentoring Fellow, I regularly offer resume/CV feedback; please feel free to reach out via the contact form and let me know how I can help!
Introductory Astronomy Workshop: an introductory course, tailored for high-school students, introducing students to elementary concepts in astronomical observation, theory, and instrumentation. GitHub Repo
Letters to a Pre-Scientist Pen Pal: Exchanged physical letters with an 8th grade pen pal in the Chicago area, providing insight into my career trajectory and making a STEM career more relatable and approachable through interpersonal connection.